这个春节,AI 领域热闹非凡,DeepSeek 一路 “狂飙”,在美国科技界和美股市场掀起惊涛骇浪,1 月 27 日,美国三大股指开盘即暴跌,英伟达、微软、谷歌母公司 Alphabet、Meta 等美国主要科技股均遭遇股市地震,其中英伟达跌近 17%,单日市值蒸发约 6000 亿美元,创美股最高纪录。

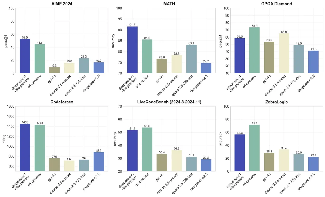
DeepSeek 以开源的特性和极低的成本,在数学、编程、自然语言推理等任务上表现出色,性能不亚于美国顶级 AI 模型。特别是 DeepSeek-R1,通过创新性运用强化学习技术,以极少量标注数据实现了推理能力的跨越式提升。在数学、编程、语言理解等核心能力上,完美比肩 OpenAI o1。这一系列创新成果不仅得到了行业的广泛认可,也让世界看到了中国 AI 技术的崛起之势。
近年来,中国 AI 发展迅猛,在基础研究、技术创新和应用落地等多方面全面开花。越来越多的国产大模型崭露头角。GitCode 作为领先的代码托管开源社区,一直与中国 AI 产业共同成长,为全球开发者提供极致的社区体验和开发者工具。
我们深知开发者对强大、便捷开发工具的渴望,也积极参与到国产大模型生态建设中。此次重磅上线国产大模型频道,引入 DeepSeek 全家桶,是 GitCode 践行推动中国 AI 发展使命的重要一步,旨在为开发者提供更优质的开发环境,助力中国 AI 产业迈向新高度。

GitCode 首页全新上线国产模型专区
GitCode 首页全新上线国产模型专区,它是国产大模型的汇聚地,为开发者们打开了便捷获取各类优质模型的大门。

GitCode 国产大模型频道集成了包括 DeepSeek 全家桶在内的丰富模型资源,并提供模型本地下载功能,开发者无需时刻依赖网络调用,不仅能在离线环境下正常使用模型,避免网络波动对开发的影响,还能降低数据传输风险,保障数据安全与隐私。同时,频道汇聚了多个领域的国产大模型,用户可根据自身项目特点和需求自由选择,避免了单一模型的局限性,让开发更具灵活性和针对性。
此外,频道搭建了开发者交流社区,方便大家分享使用模型的经验、心得,共同探讨技术难题,这种交流合作的氛围能帮助开发者快速解决问题,激发创新思维,促进技术共同进步。不仅如此,GitCode 会持续关注国产大模型的发展动态,及时更新频道内的模型版本,提供最新的技术支持,专业的技术团队也随时待命,解答用户在使用过程中遇到的问题,让用户无后顾之忧。
GitCode 联合 CodeArts 提供稳定的 DeepSeek 模型下载服务
GitCode 联合 CodeArts 提供的稳定模型下载服务,开发者可以快速获取高质量的开源模型资源,这些模型经过严格的开源治理流程,确保了其安全性和合规性,同时,CodeArts 的全栈自研技术体系和高效代码托管能力,为模型的存储与分发提供了坚实的技术保障,GitCode 还整合了全球核心开源技术栈资源,进一步丰富了模型库,助力开发者在智能时代快速开发和创新。

GitCode 已正式上线基于昇腾 GPU 的 DeepSeek Space 服务测试版
标志着国产算力与先进 AI 模型的深度融合。DeepSeek Space 服务测试版依托华为云昇腾的强大算力,能够提供高效的推理性能,性能表现比肩高端 GPU,开发者可以更便捷地使用 DeepSeek 模型进行推理任务,享受昇腾GPU带来的高效计算能力。

GitCode 即将推出基于昇腾 GPU 的 DeepSeek 满血版 API 服务
将充分利用昇腾 GPU 的强大算力,为用户提供高效、稳定且性能卓越的推理能力。具体申请流程和使用指南将在服务上线后公布,敬请期待!
在科技自立、AI 强国的道路上,GitCode 作为一家扎根于中国的企业,将始终坚守使命,不断推动国产大模型的生态建设。我们相信,通过持续的技术创新和服务优化,GitCode 能够为中国的 AI 产业发展贡献更多的力量。感谢大家一直以来的支持与信任,让我们携手共进,共创 AI 领域的美好未来!
体验地址:https://gitcode.com/wuyw/DeepSeek-R1-Distill-Qwen-1.5B